通知公告

中科院兰州化物所2023年拟录取硕士研究生公示

发布时间:2023-04-23

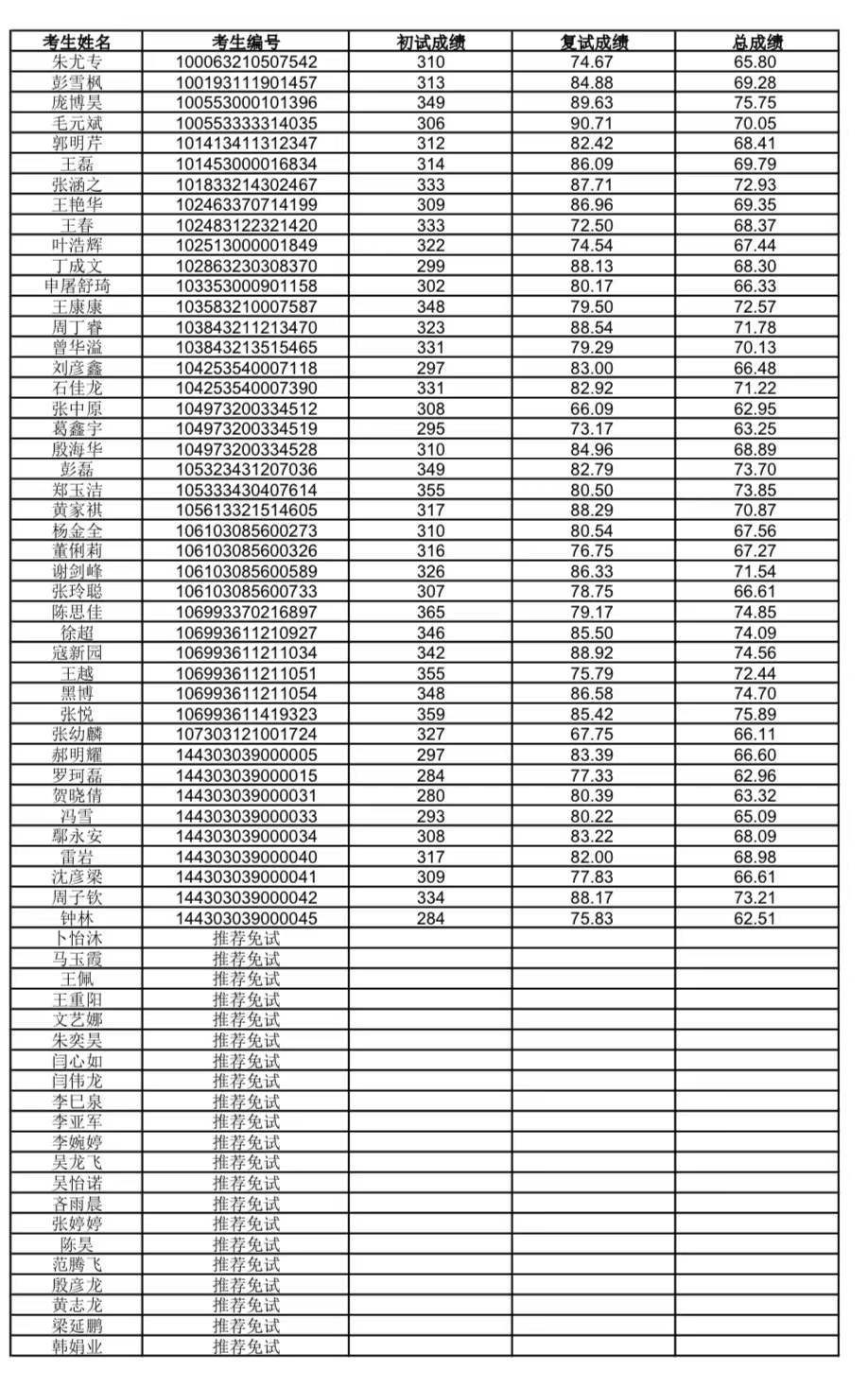
  研究所拟录取2023级硕士研究生共64名,现将名单公示如下:

  

  说明:如发现考生本人材料虚假、严重违法违纪等情况,本所有权取消其录取资格。

  公示期:2023年4月23日-2023年5月9日

  监督电话:0931-4968201、4968114

  

  人事教育处

  2023年4月23日


附件下载: