中科院兰州化物所2020年拟录取博士研究生公示

发布时间:2020-07-21

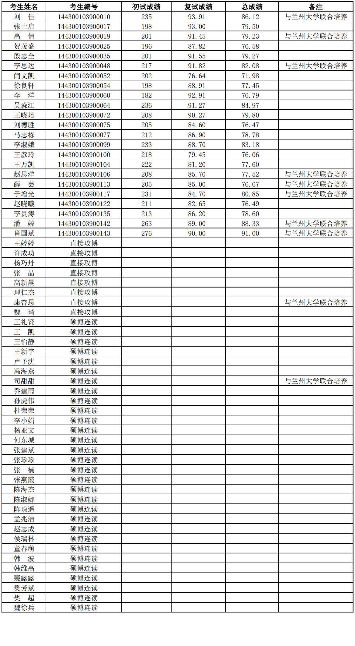
  研究所拟录取2020级博士研究生共61名(含与兰州大学联合培养研究生10名),现将名单公示如下: 

  说明:如发现考生本人材料虚假、严重违法违纪等情况,本所有权取消其录取资格。

   公示期:2020721-202083  

  监督电话:0931-4968201  

                        人事教育处 

                       2020721  


附件下载: