| Publications-2013 |
|
| 日期:2015-05-28
| | 【大 中 小】 |
2023|2022|2021|2020|2019|2018|2017|2016|2015|2014|2013|2012|2012年以前
1. Hongdeng Qiu*, Shengxiang Jiang, Makoto Takafuji and Hirotaka Ihara, Polyanionic and polyzwitterionic azobenzene ionic liquid-functionalized silica materials and their chromatographic applications, Chemical Communications, 2013, 49, 2454-2456.

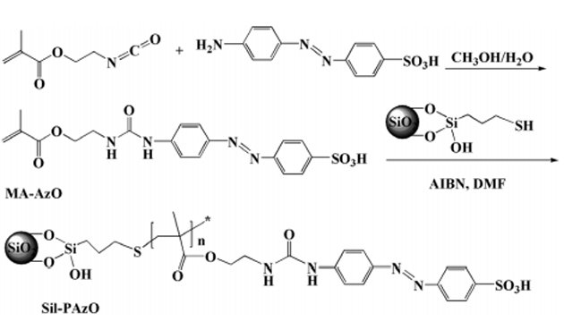
2. Hongdeng Qiu*, Mingliang Zhang, Tongnian Gu, Makoto Takafuji, Hirotaka Ihara, A Sulfonic-Azobenzene-Grafted Silica Amphiphilic Material: A Versatile Stationary Phase for Mixed-Mode Chromatography,Chemistry - A European Journal, 2013, 19, 18004-18010.

3. Sheng Tang, Licheng Wang, Haifeng Han, Hongdeng Qiu*, Xia Liu, Shengxiang Jiang, Preparation and characterization of dipyridine modified hybrid-silica monolithic column for mixed-mode capillary electrochromatography,RSC Advances, 2013, 3, 7894-7901.

4. Juanjuan Feng,Hongdeng Qiu,Xia Liu,Shengxiang Jiang*,The development of solid-phase microextraction fibers with metal wires as supporting substrates,Trends in Analytical Chemistry, 2013,46, 44-58.
5. Haixia Ren, Hongdeng Qiu, Xiaojing Liang, Xusheng Wang, Shengxiang Jiang, Determination of inorganic anions in saliva by electroosmotic flow controlled counterflow isotachophoretic stacking under field-amplified sample injection, Journal of Chromatography B, 2013, 935, 75-79.

6. Zheng Wei, Haixia Ren, Shuai Wang, Hongdeng Qiu, Xia Liu, Shengxiang Jiang, Facile preparation of well dispersed uniform, porous carbon microspheres and their use as a new chromatographic adsorbent,Materials Letters, 2013, 105, 144-147.

|
|
|
|
|