中国科学院兰州化学物理研究所材料表界面课题组与西北工业大学胡海豹教授课题组、英国帝国理工大学Daniele Dini教授团队合作,在美国科学促进会出版的《Science Advances》(Science子刊)发表了题为“Significant and stable drag reduction with air rings confined by alternated superhydrophobic and hydrophilic strips”的研究论文,兰州化物所为通讯作者单位之一。
材料表界面课题组长期从事水下减阻科学与技术的研究,先后承担和参与两项国家自然科学基金委重点项目(50835009和51335010)。利用仿生理念,通过构筑超疏水特性表面,在壁面封存气膜,被国内外公认为一种潜在的高效减阻方法,未来有望应用于海洋工程领域。目前该技术的瓶颈在于,水流剪切作用下气膜层会快速流失,亟需寻找维持气膜层稳定的可靠方法。
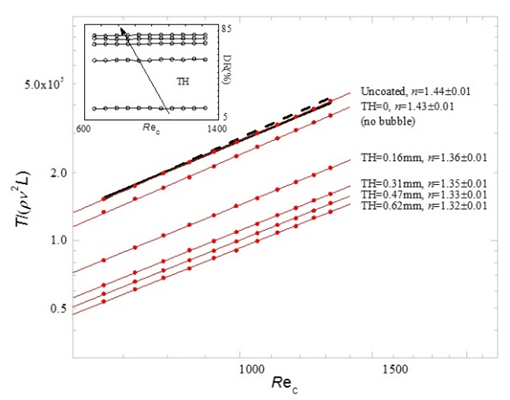
该论文作者首次提出了一种利用亲疏水相间结构构筑无限边界气环,实现水下气膜层稳定封存的高效方法,为解决目前仿生超疏水材料减阻失效问题提供了崭新的技术思路,工程价值令人鼓舞。在验证环节,作者通过构造的亲疏水相间环形条带,在无外来气体持续补充的条件下,成功在旋转圆柱表面上封存住亚毫米厚度的连续气环层,实现最大77.2%的减阻效果,且减阻率基本不随测试雷诺数变化,高效性令人惊讶。
文章得到了三位审稿人一致的高度评价,认为“作者创造了一种利用束缚气体的减阻新概念”(“The authors created an inner cylinder that had alternating azimuthal stripes of hydrophilic and superhydrophobic bands”),“是利用宏观亲疏水图案结构实现显著减阻的新尝试”(“describe a novel application of macroscopic patterned superhydrophobic/ superhydrophilic stripes to give substantial drag reduction”),“作者聪明地利用了亲疏水条带结构的束缚作用,创造出连续环状气膜”(“The clever insight used by the authors is to create continuous toroidal bubbles which are pinned at the discontinuity between the hydrophilic and hydrophobic stripes”),“研究成果非常新颖、及时”(“The work is very novel, timely”)。

"气环"减阻示意图

“气环”减阻流场分布图

减阻效率随雷诺数变化趋势
高水平的科研成果往往需要跨学科、跨单位的合作,充分发挥各自科研优势,持续倾注数年攻克某一科研难题。兰州化物所与西北工业大学胡海豹团队、英国帝国理工大学的Daniel Dini教授团队长期保持良好科研协作关系,在水下减阻和水润滑方面已经取得系列合作研究成果。






