无机物通常不具备构筑生命体所需的良好柔韧性、可塑性和响应性。绝大多数情况下,具有可调机械强度或摩擦学性能的类生命材料(如自适应水凝胶)必须建立在轻而软的有机分子上。换言之,如果能够成功利用无机基元实现仿生软材料的构筑,必将是对材料科学和纳米技术的有力补充。因其不仅可为创造全新的“无机生命体”提供可行性,还能克服传统有机化合物易燃、有毒性和难以生物降解等缺点。

图1. 水凝胶在不同pH下的微观表征及结构示意图
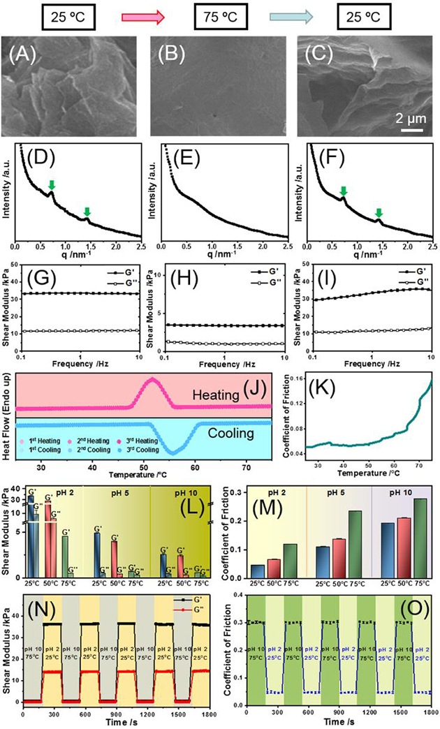
近日,中国科学院兰州化学物理研究所固体润滑国家重点实验室徐路特聘青年研究员团队首次研制出一种仅由氧化石墨烯和水组成的双响应型机械与摩擦学自适应水凝胶。该纯无机凝胶能够基于pH或温度诱导的内部微观结构重构,使自身机械强度或摩擦系数分别急剧或缓慢变化10倍、5倍以上。同时改变外部pH和温度,则能诱发凝胶的机械与摩擦学性能发生更加显著的变化。该行为能够高仿真模拟肌肉或海参在感受外部刺激或生物信号下的力学或摩擦学性能变化。
该水凝胶在低pH值和室温下呈现出优异的润滑抗磨性能,可与由传统有机润滑基础油或添加剂所形成的凝胶相比肩。结合所使用氧化石墨烯凝胶因子的低毒性和生物降解性,以及该水凝胶易于制备的优点,研究人员认为这种新型自适应水凝胶不仅能够用于仿生领域,还可作为智能与绿色超分子凝胶润滑剂,用于精确调谐材料表面的摩擦学性能,继而在智能器件(如自清洁表面和微流体技术)的构筑领域表现出潜在应用价值。
相关研究有望通过为制造完全不含任何有机分子的智能软材料提供新的设计策略,继而帮助扩大材料科学、胶体化学和纳米技术的研究范围,甚至有望创造出“无机生命”。

图2. 水凝胶在不同pH下的摩擦学及机械性能表征

图3. 水凝胶的热响应性及pH和温度对水凝胶机械和摩擦学性能的双驱动行为
相关研究成果以 “Dual-Driven Mechanically and Tribologically Adaptive Hydrogels Solely Constituted of Graphene Oxide and Water” 为题发表在Nano Letters上(https://doi.org/10.1021/acs.nanolett.2c01489)。兰州化物所胡璐琳助理工程师为该论文的第一作者,徐路特聘青年研究员和山东大学郝京诚教授为通讯作者。
该工作得到了兰州化物所特聘人才计划、烟台先进材料与绿色制造山东省实验室项目的支持。






