挥发性有机化合物(VOCs)是造成大气环境污染及臭氧(O3)浓度升高的重要因素,是我国大气污染防治攻坚战的重要治理对象。催化燃烧技术(即催化氧化法)具有起燃温度低、适用范围广、无二次污染等特点,已被广泛应用于移动源和固定源VOCs 的净化消除。现有工业尾气芳香烃类VOCs的净化消除通常采用贵金属催化剂,但贵金属价格高。因此,采用非贵金属催化剂是降低VOCs催化燃烧技术成本的重要研发方向。
Ni基催化剂因价格低廉、储量丰富,是一种非常有前景的非贵金属催化剂,在VOCs催化燃烧领域引起了广泛关注。然而,现有的Ni基催化剂在芳香烃类VOCs催化燃烧反应中存在低温活性不足、耐高温水热稳定性差等问题,极大地限制了其在相关领域的应用。

图1 核壳SiO2@NiaCobOx纳米管催化剂的构筑
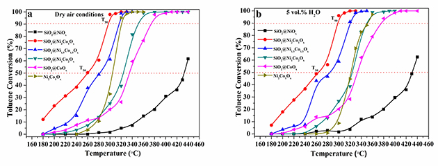
针对上述问题,中国科学院兰州化学物理研究所精细石油化工中间体国家工程研究中心工业催化课题组以具有高比表面积的有序介孔SiO2纳米管为基底,实现了一种由三层 C@SiO2@NiCo-Phyllosilicate纳米纤维衍生的核壳 SiO2@NiaCobOx纳米管催化剂的制备。由于有序介孔SiO2纳米管的引导生长,以及层状硅酸盐纳米片结构中SMSI的存在和表面-OH的形成,有效抑制了水分子在活性金属位点的竞争吸附,显著提升了芳香烃类VOCs在Ni基催化剂上的低温氧化活性和耐高温水热稳定性。

图2 核壳SiO2@NiaCobOx催化剂的VOCs催化氧化性能
该研究工作近期发表在环境催化领域期刊Applied Catalysis B: Environmental(2022, 315, 121524.)上,董芳副研究员为该论文第一作者,唐志诚研究员为论文通讯作者。
该工作得到了国家自然科学基金、中科院洁净能源研究院合作基金等项目的支持。






