近日,中国科学院院士、中科院兰州化学物理研究所刘维民研究员和西北工业大学齐卫宏教授在二维材料层间摩擦力的摩尔纹效应研究方面取得新进展。
二维材料层间以范德华力结合,这种弱的非键相互作用使得二维材料之间可以任意堆叠而无需晶格匹配,容易形成摩尔纹超结构(图1)。摩尔纹随二维材料层间旋转而变化,且与层间摩擦力密切相关,适当的层间旋转可以形成特定的摩尔纹,使得摩擦力近乎消失(摩擦系数小于0.001),实现层间超润滑。截至目前,二维材料形成的摩尔纹对摩擦性能的影响规律尚不明确,缺乏合适的理论模型,相关工作已成为二维材料层间摩擦力研究的前沿内容。
齐卫宏教授和刘维民院士认为,二维材料的层间摩擦力主要来源于层间势能面的起伏,而二维材料旋转体系中的势能面起伏主要是由摩尔纹的不规则截断所导致。基于该思路,研究团队通过理论分析和分子动力学模拟获得了摩尔纹对二维材料摩擦性能的影响规律,进一步推导出预测二维材料摩尔纹效应的解析表达式。
研究团队认为,二维材料摩擦副的几何构象对摩擦的影响可以统一地从摩尔纹的角度进行研究。虽然从经典的摩擦理论无法解释摩尔纹对摩擦的影响,但可从摩尔纹的几何结构和能量特征出发研究其对摩擦性能的影响。研究发现,一个完整摩尔超晶格内的势能起伏接近于0,且无限大旋转体系中摩尔纹对势能起伏的影响可由如下公式描述:

其中,α和β是待定的经验参数,α是组分晶格的周期,L是摩尔纹尺寸。图2表明该公式很好地与分子动力学计算结果相吻合。有限大体系中势能起伏主要由摩尔纹的不规则截断导致,研究人员推导出摩尔纹尺寸、滑块尺寸在旋转体系中对势能起伏U的定量关系:

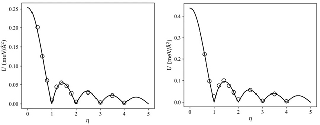
其中,U0是局域势能函数的振幅(图3),ɩ是滑块尺寸,L是摩尔纹尺寸,η则是两者比值,并假定滑块的形状及取向与摩尔超晶格完全一致。通过分子动力学模拟,研究人员证明该公式对同质结与异质结都适用(图4)。
局域势能函数具体代表的是局部势能随局部配置的分布,该函数的振幅U0是与宏观的旋转、尺寸及形状无关的,代表的是材料结合能在滑动过程中变化幅度的本征属性,一旦确定了U0,便可以通过对局域势能函数积分预测任意几何构型下的势能起伏,从而计算出摩擦力。该研究成果对深入研究二维材料摩擦性能具有重要意义,可应用于高通量筛选和设计新的超润滑二维材料体系。
相关研究成果以“Moiré pattern effect on sliding friction of two-dimensional materials”为题发表在Tribology International上。齐卫宏教授和刘维民院士为通讯作者。
该工作得到了国家自然科学基金和中央高校基本科研业务费的资助。

图1 摩尔纹示意图
图2 无限大旋转双层石墨烯中势能起伏随摩尔纹周期的变化,曲线是公式(1)的预测

图3 局域势能的示意图。(左)石墨烯/六方氮化硼的每个原子的势能(不同颜色代表不同势能);(右)局域势能可以在一维用sin函数模拟

图4 分子动力学计算检验势能起伏函数。(左)旋转双层石墨烯;(右)石墨烯/六方氮化硼






