过氧碳酸氢盐HCO4-是一种新兴的双电子弱氧化剂,HCO4-的活化能原位生成·OH和CO3·-等复合活性氧物种,实现原位氧化体系的构建。然而,从CO2的转化利用角度出发,构建CO2衍生HCO4-生成复合活性氧物种的原位氧化体系,国内外未见报道。而利用精准催化活化技术,实现多氧化剂共存体系中CO2衍生HCO4-的精准活化,具有极大挑战性。

图1. CO2同H2O2、CO32-间自发串联反应衍生HCO4-构建的原位氧化体系。
近期,中国科学院兰州化学物理研究所精细石油化工中间体国家工程研究中心催化新工艺课题组发展了CO2同H2O2和CO32-之间自发串联反应,生成过氧碳酸氢盐HCO4-的过程(图1),利用热活化手段创制了选择性活化氧化剂HCO4-生成·OH和CO3·-,用于水体修复的原位氧化技术。该工作阐明了H2O2在体系中主要同碳酸根反应生成HCO4-,而非被分解为O2和H2O(图2),因此·OH产率和H2O2利用率大幅提高,然而过多的H2O2会萃灭生成的·OH,不利于强氧化性自由基的生成。

图2.(a-e)CO2衍生HCO4-的生成转化;(f,g)·OH的定量分析;(h,i)选择性活化HCO4-生成·OH和CO3·-的相关性研究。
在HCO4-和H2O2共存的复杂氧化体系中,围绕选择性催化剂的制备,阐明了精准催化活化CO2衍生HCO4-催化剂的构效关系,提出了由氧空位和Lewis酸性位组成的双活性位催化剂Co/Al2O3对HCO4-的吸附、络合作用,并以此构建了Co/Al2O3催化活化HCO4-原位生成·OH和CO3·-的高级氧化体系,实现了多种有机物的氧化转化。该工作探索了CO2转化利用的新方式,进一步明确了精准催化活化HCO4-的催化剂设计思路和规律。

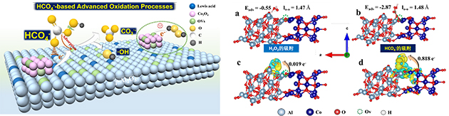
图3.(左)双活性中心催化剂催化活化CO2衍生HCO4-;(右)Co/Al2O3选择性吸附H2O2和HCO4-的DFT理论计算。
以上研究成果以“Reconsideration of the role of hydrogen peroxide in peroxymonocarbonate-based oxidation system for pollutant control”和“Selective catalytic activation of peroxymonocarbonate over a Co/Al2O3 catalyst”为题分别发表在Water Research(https://doi.org/10.1016/j.watres.2024.122750)和 Applied Catalysis B: Environment and Energy(https://doi.org/10.1016/j.apcatb.2024.124748)上。兰州化物所博士研究生杨子寒和硕士研究生周溢分别为论文第一作者,中国科学院兰州分院赵培庆研究员和兰州化物所孟旭副研究员为共同通讯作者,兰州化物所为唯一通讯作者单位。
以上工作得到了兰州化物所、低碳催化与二氧化碳利用重点实验室、甘肃省科技厅和兰州市城关区科技局的支持。






