高熵材料是近年发展起来的一类新兴材料,其高熵的热力学特征表现出诸多新奇特性,为前沿领域提供了重大科学启示和广阔研究空间。高熵碳化物陶瓷以其独特的组成、微观结构和良好的力学性能等备受研究者青睐。
近期,中国科学院兰州化学物理研究所固体润滑国家重点实验室高温摩擦学课题组在高性能高熵陶瓷材料的设计、制备及摩擦学性能研究方面获新进展。
针对高熵碳化物陶瓷制备困难的问题,研究人员以石墨作为碳源,采用氧化物碳热还原法,结合高能球磨及放电等离子烧结技术,制备了高致密的单相高熵陶瓷块体材料,材料结晶性好、纯度高、成分均匀、抗磨损性能优异(图1)。此外,研究人员通过添加少量金属铝,可明显降低高致密高熵陶瓷块体的烧结温度。相关研究成果发表在Tribology International(2021,157:106883; 2023,184:108471)上。

图1 单相高熵陶瓷块体材料的XRD和TEM表征
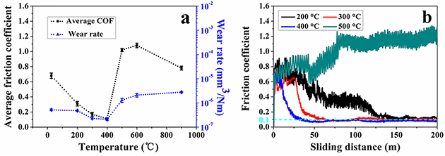
研究人员提出了利用单相高熵碳化物陶瓷自身组成元素提供润滑性能的策略,开展了单相高熵碳化物陶瓷摩擦诱导自润滑行为研究。通过调控高熵陶瓷体系的组成((Hf-X-Nb-Ta-Ti)C, X为Mo, W, V, Zr),发现了系列在高温真空环境下具有自润滑性能的单相高熵碳化物陶瓷材料,其摩擦系数最低可达0.1(图 2)。这主要是由于高熵陶瓷材料在高温摩擦诱导作用下,在磨损表面生成了具有润滑性能的非晶碳膜(图3)。此外,研究人员通过调控(HfMoNbTaTi)C系高熵陶瓷的高温润滑组元Mo,获得了在大气高温工况下具有自润滑性能的单相高熵陶瓷材料。相关研究成果先后发表在Scripta Materialia(2023,227:115273)、Journal of the American Ceramic Society(2023,106:4987-4996)和Journal of the European Ceramic Society(2023,43:5099-5107)上。

图2 (Hf-Mo-Nb-Ta-Ti)C高熵陶瓷在真空环境下的高温摩擦学性能

图3 高熵陶瓷试样在真空400 oC时磨痕的TEM分析
相关研究获中国发明专利授权3项(ZL202010946401.1, ZL202111451319.2, ZL202211459351.X)。
上述工作第一作者分别为兰州化物所助理研究员孙奇春和兰州理工大学联合培养硕士生陈文邦。
以上工作得到了国家重点研发计划、国家自然科学基金委、甘肃省青年科技人才托举工程等项目的支持。






