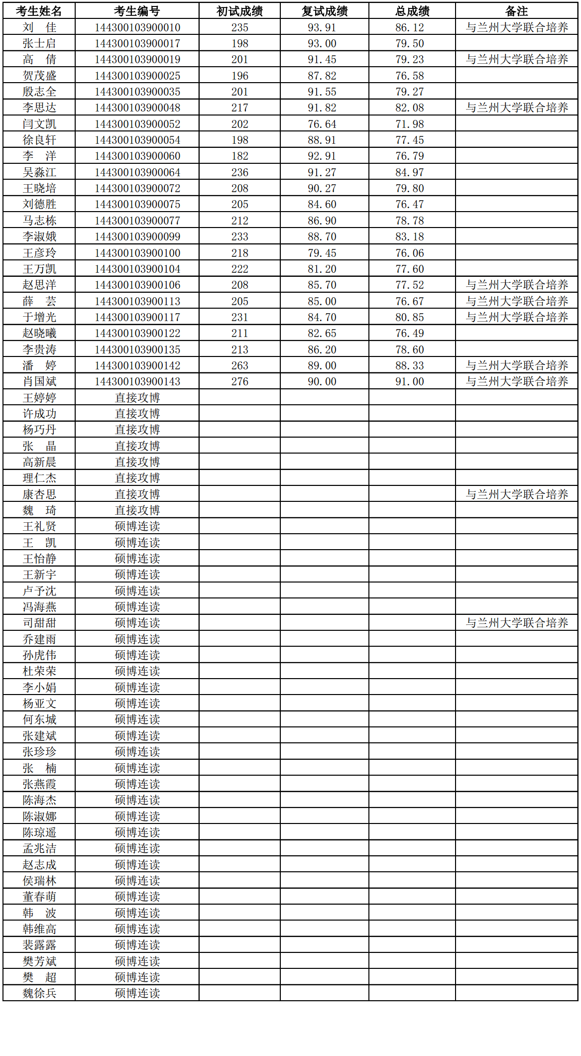
研究所拟录取2020级博士研究生共61名(含与兰州大学联合培养研究生10名),现将名单公示如下:

说明:如发现考生本人材料虚假、严重违法违纪等情况,本所有权取消其录取资格。
公示期:2020年7月21日-2020年8月3日
监督电话:0931-4968201
人事教育处
2020年7月21日

中科院兰州化物所2020年拟录取博士研究生公示
研究所拟录取2020级博士研究生共61名(含与兰州大学联合培养研究生10名),现将名单公示如下:

说明:如发现考生本人材料虚假、严重违法违纪等情况,本所有权取消其录取资格。
公示期:2020年7月21日-2020年8月3日
监督电话:0931-4968201
人事教育处
2020年7月21日

