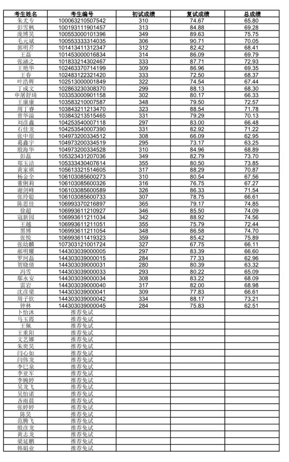
研究所拟录取2023级硕士研究生共64名,现将名单公示如下:

说明:如发现考生本人材料虚假、严重违法违纪等情况,本所有权取消其录取资格。
公示期:2023年4月23日-2023年5月9日
监督电话:0931-4968201、4968114
人事教育处
2023年4月23日

中科院兰州化物所2023年拟录取硕士研究生公示
研究所拟录取2023级硕士研究生共64名,现将名单公示如下:

说明:如发现考生本人材料虚假、严重违法违纪等情况,本所有权取消其录取资格。
公示期:2023年4月23日-2023年5月9日
监督电话:0931-4968201、4968114
人事教育处
2023年4月23日

