兰州化物所中国科学院
| 首  页 | 概  况 | 学科专业 | 导师介绍 | 招生信息 | 师生动态 | 研究生会 |
现在位置:首页>研究生处>招生信息
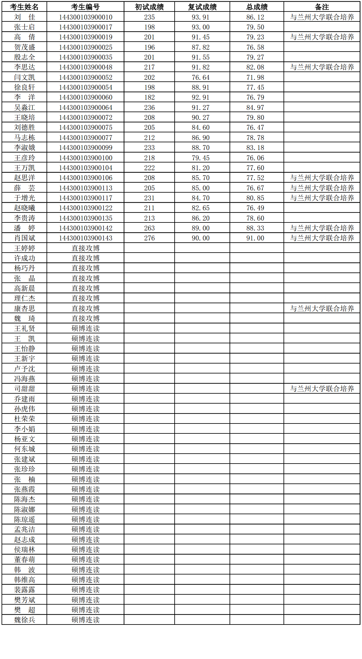
中科院兰州化物所2020年拟录取博士研究生公示
2020-07-21 | 【】【打印】【关闭】                

  研究所拟录取2020级博士研究生共61名(含与兰州大学联合培养研究生10名),现将名单公示如下: 

  说明:如发现考生本人材料虚假、严重违法违纪等情况,本所有权取消其录取资格。

   公示期:2020721-202083  

  监督电话:0931-4968201  

                        人事教育处 

                       2020721  

来源:
评 论

Copyright (©) 中国科学院兰州化学物理研究所*办公室 承制 版权所有