
中国科学院兰州化学物理研究所羰基合成与选择氧化国家重点实验室夏纪宝课题组一直致力于惰性键活化与C1分子 (CO和CO2)催化转化领域的研究,使用CO2为C1源,成功实现了一系列还原脱氧碳-碳成键反应 (Org. Lett. 20...
中国科学院兰州化学物理研究所固体润滑国家重点实验室王晓龙研究员团队和江南大学机械学院刘禹教授团队合作,在原DLP 3D打印聚酰亚胺基础上(Solvent-free and photocurable polyimide inks for 3D printing, J....
中科院兰州化物所羰基合成与选择氧化国家重点实验室石峰课题组致力于甘油-含氮化合物协同转化高效催化体系的构建,他们与德国莱布尼兹催化研究所Angelika Brueckner教授合作,制备出一系列不同结构的三氧化二铝负...
2月13日,2018年度甘肃省科学技术(专利)奖励大会在兰州召开。中国科学院兰州化学物理研究所3项成果获奖。其中,郭志光研究员等主持完成的“油水分离材料的仿生设计制备与性能调控”项目获自然科学一等奖,王齐...
1月17日,爱思唯尔(Elsevier)发布2018年中国高被引学者(Most Cited Chinese Researchers)榜单,来自国内38个学科的1899名学者入选。 中国科学院兰州化学物理研究所王齐华研究员入选“通用工程”类...
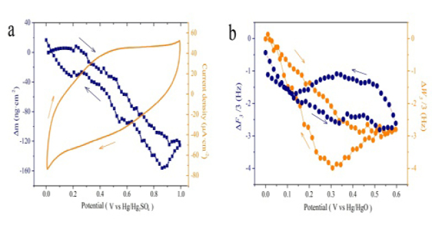
中国科学院兰州化学物理研究所清洁能源化学与材料实验室阎兴斌研究员课题组多年来致力于超级电容器电极材料制备、器件组装与储能机理的研究。最近,该团队制备了一种自支撑的MnO2/Ni双层电极薄膜材料。该电极在电...
1月14日上午,中国科学院兰州化学物理研究所召开2018年度工作总结暨领导班子和党建工作述职考评会。按照中国科学院对研究所领导班子及领导人员年度考核工作的统一部署,中科院兰州分院副院长、分党组成员吴建...
1月8日上午,2018年度国家科学技术奖励大会在北京人民大会堂举行。党和国家领导人习近平、李克强、王沪宁、韩正等党和国家领导人出席大会。习近平等向获奖代表颁奖。李克强代表党中央、国务院在大会上讲话。...
中国科学院兰州化学物理研究所清洁能源化学与材料实验室阎兴斌研究员团队一直致力于超级电容器的基础和应用基础研究。2017年,该团队在Nature Communications上发表了关于EDLC在离子液体电解液中储能机理的文章,...

