
羰基化合物广泛存在于自然界中,其合成与转化是碳资源高效利用的重要途径。合成化学尤其是选择氧化及羰基合成的不断发展为羰基化合物的合成提供了强大的手段。因此发展羰基化合物的转化从而实现其高值化利用对碳...
2月6日上午,中国科学院兰州化学物理研究所召开2017年度工作会议暨全所职工大会,全所职工和研究生代表参加了会议,党委书记王齐华主持会议并传达了2018年中科院工作会议精神,通报了2017年度职工考核结果,宣读...
1月25日,2017年度甘肃省科学技术(专利)奖励大会在兰州召开。中国科学院兰州化学物理研究所2项成果获奖,其中甘肃省黏土矿物应用重点实验室王爱勤研究员等主持完成的“低品位凹凸棒石关键共性技术研发及应用”...
10月18日上午,中国共产党第十九次全国代表大会在北京人民大会堂隆重开幕。中国科学院兰州化学物理研究所党委认真组织全所在职职工和研究生党员集中收看了党的十九大开幕式直播盛况。
10月31日,中国科学院兰州化学物理研究所召开专题会议,传达学习党的十八届四中全会和十八届中央纪委四次全会精神,开展反腐倡廉形势教育。会议由兰州化物所所长夏春谷主持,党委书记、副所长兼纪委书记王齐华、...
1月23日下午,中国科学院兰州化学物理研究所召开2014年度工作会议,所长夏春谷传达了中科院2014年度工作会议精神并作了研究所年度工作报告,党委书记兼副所长王齐华作了党委工作报告。副所长师彦平主持会议,全所...
12月19日,中国科学院公布了2013年新增选院士名单,中国科学院兰州化学物理研究所刘维民研究员当选为中国科学院院士。 刘维民研究员1962年9月生于山东省莱西市,1984年毕业于山东师范大学化学系,1987年、1990...
6月8日下午,中国科学院院长、党组书记白春礼在青海盐湖研究所召开兰州分院系统所级领导干部座谈会,通报院机关科研管理改革工作,听取意见和建议,并就院机关改革和研究所关心关注的相关问题进行了深入交流。
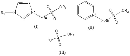
中国科学院兰州化学物理研究所羰基合成与选择氧化国家重点实验室分子催化与技术研究组近年来开展了功能化离子液体的制备方法与应用研究,成功制备了含磺酸酯基侧链室温离子液体并应用于催化醇酸酯化反应,近日获...

